共通テストお疲れ様でした。
毎年恒例となりつつありますが、私も同じ問題を解いてみました。
この記事では、2026年度大学入学共通テスト本試験 数学II・B・Cの解答・解説を載せております。
問題と解答は,各予備校の解答速報のページをご参照ください。
I・Aもあります。


粗茶
- 文系に特化して数学を分かりやすく教える高校数学の専門家
- 指導歴15年
- 数学が苦手で何から始めたらいいか分からない文系高校生の悩みを解決するコンテンツを展開しています。

2026共通テスト数学II・B・C 第1問
第1問は図形と方程式の問題でした。円を中心とした問題で、絶対値つきの不等式の領域がややこしい。

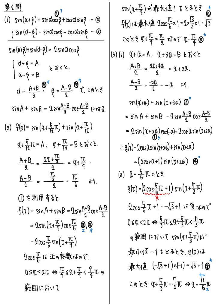
2026共通テスト数学II・B・C 第2問
第2問は三角関数。和積の公式を用いた出題で、あまり馴染みのない人には辛かったかもしれませんが、出来上がった公式に当てはめていけば一応進むかな。

2026共通テスト数学II・B・C 第3問
第3問は微分・積分。グラフから導関数を形を考える問題は、二階微分を使って変曲点が0になるという方法が速そうですが、文系の範囲内の解答にしてみました。

2026共通テストII・B・C 第4問
第4問は数列。(2)で1次式でおいたことを応用して、(3)で2次式で置けるかどうかがポイント。

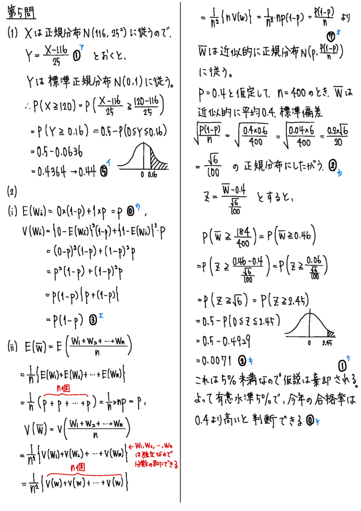
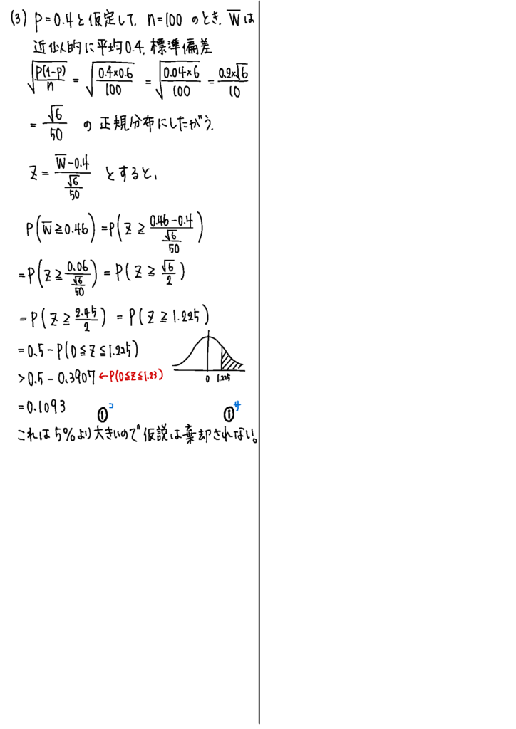
2026共通テスト数学II・B・C 第5問
第5問は統計的推測。そもそもこの単元は問題のパターンが限定的なので、例年とあまり変わらない感じ。新課程になってからは仮説検定が必ずと言っていいほど最後に出てくるね。


2026共通テスト数学II・B・C 第6問
第6問はベクトル。正六角形を用いた問題ですが、あまり図形は利用せずに計算中心にしてみました。点の存在範囲問題はめずらしいかも。

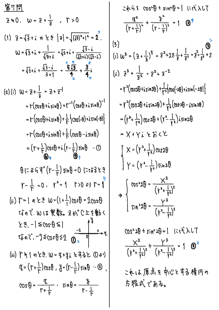
2026共通テスト数学II・B・C 第7問
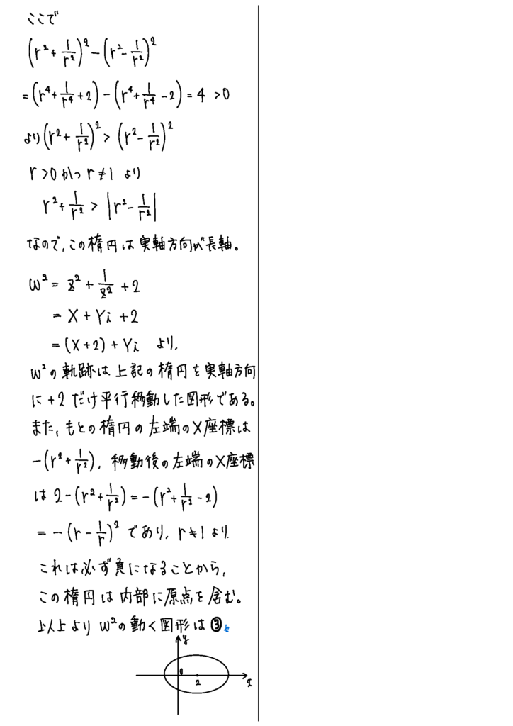
第7問は複素数平面と2次曲線。両方の単元を入れるとなると、複素数平面上に楕円やら何やらを描かせるパターンが王道になってくるのかもしれないですね。


まとめ
本記事では、2026年度共通テスト数学II・B・Cの解答を載せてみました。
例年通りの分量の多さと難易度だったかなという印象。IAが難しかったこともあり、IIBCのほうが点数が取りやすかったという人もいたようです。
今年の本試験は指数・対数の出題がなかったので、来年はでてくることでしょう。
受験した人はもう振り返らなくていいと思いますが、高1・高2のあなたは、ぜひチャレンジしてみてくださいね。
このブログでは,自分で勉強しているとき,つまづきやすいポイントを解説。
「かゆいところに手が届く」情報を発信しています。
自分で勉強する際にオススメの参考書や,勉強が楽しくなる文房具も紹介していますので,よろしければご覧ください!



